Littelfuse Produ系列SP1012 TVS二極管陣列(SPA™

Littelfuse SP1012, from the the SPA™ Family of Products, is a miniature 5-channel bidrectional TVS Diode Array that provides ESD protection for data lines. Packaged in a 0402 footprint, this diode array includes five ESD diodes in the space of one. With the highest number of ESD diodes available in the market in a package size less than a square millimeter, SP1012 saves on PCB space and costs. The series safely absorbs repetitive ESD strikes at the maximum IEC61000-4-2 specified level without performance degradation. SP1012 diode has a bidirectional configuration which provides ESD protection for data lines with AC signals.

特點

  • Superior ESD protection
    • ESD, IEC61000-4-2, ±15kV contact, ±30kV air
    • EFT, IEC61000-4-4,40A (5/50ns)
    • Lightning protection, IEC61000-4-5, 3.0A (tp=8/20μs)
  • Highest density TVS array available
  • Very low dynamic resistance of 0.48Ω
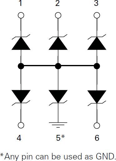
  • Flexible ground connection; any I/O pad will work
  • Permits back-to-back 6V standoff
  • 5 channels of protection in a 0.94mm x 0.61mm footprint

應用

  • Smart phones
  • Mobile phones
  • Wearable technology
  • Touchscreen controllers
  • SIM card interfaces

Functional Block Diagram

Littelfuse Produ系列SP1012 TVS二極管陣列(SPA™

影片

發佈日期: 2014-10-08 | 更新日期: 2022-03-11